Pêche de la truite aux leurres Lacs des Pyrénées est sur Facebook
-
Pseudo:
Mot de passe:
Liste des membres - Astuces forum
Vous n'êtes pas identifié

Sujet: Autorisation alevinage Hautes Pyrénées par le Parc national

pahu
Posts: 7129
Pertinence:
Web: www

Groupes: 2
message 29 oct 2025 - 20:10 | Autorisation alevinage Hautes Pyrénées par le Parc national  
Note du message: Notez ce message: down / up

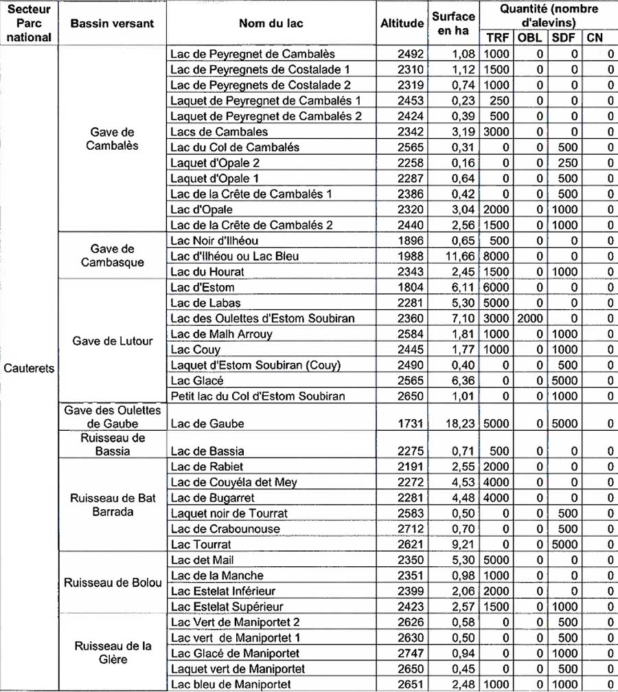
Autorisation alevinage Hautes Pyrénées par le Parc national des Pyrénées pour 2025

Pour l'année 2024 voir : https://www.lacsdespyrenees.com/alevinage-parc-national-des-pyrenees.php

Autorisation alevinage et survol motorisé dans le Parc national des Pyrénées (Hautes Pyrénées) pour 2025 (format PDF / 1471 kB)

Le document autorise l'alevinage et le survol motorisé dans le Parc national des Pyrénées (Hautes Pyrénées) pour 2025.

Autorisation d'alevinage : Délivrée par la Directrice du Parc national des Pyrénées.
Autorise l'introduction d'alevins dans les lacs de montagne.
Dates : 22 et 23 juillet 2025.
L'alevinage concerne plusieurs lacs dans les secteurs d'Aure, Azun et Cauterets.

Conditions de l'alevinage: Alevins doivent être de taille inférieure à 6 cm.
Provenance des alevins : établissements qualifiés « zone indemne ».
Respect strict des modalités d'alevinage définies dans le tableau.

Survol motorisé: Autorisé à une hauteur inférieure à 1000 mètres pour les opérations d'alevinage.
Trajets d'hélicoptère doivent minimiser le dérangement de la faune, notamment des bouquetins.
Interdiction de survol dans la Réserve naturelle nationale du Néouvielle.
L'alevinage du lac de Gaube ne fera pas l'objet d'un héliportage. L'accès au site se fera par d'autres moyens.

Contrôles et réglementations: Agents du Parc vérifieront le respect des prescriptions.
Non-respect peut entraîner la suspension de l'autorisation.
Recours possible dans un délai de deux mois auprès de la Directrice du Parc.




_________________
"Combien y a-t-il de lacs dans les Pyrénées? Qui les a tous vus ?" H. RUSSELL


<< Partagez très simplement des photos sur ce site en quelques clicks et sans avoir besoin d'utiliser un site dédié aux hébergements de vos images affichant souvent une publicité excessive! >>
JFB
Posts: 5368
Pertinence:

Groupes: 1
message 30 oct 2025 - 13:44 |  
Note du message: Notez ce message: down / up

Bonjour
Citation :
Trajets d'hélicoptère doivent minimiser le dérangement de la faune, notamment des bouquetins.
C'est excellent !
Pour ce, trois procédures sont proposées à la fédération :
La première, demander au pilote de l’hélicoptère de mettre le moteur en veilleuse. Nonobstant, bien entendu et c’est le cas de le dire, le grand « boum » et le feu à la montagne dans les secondes suivantes.
La deuxième, placer quelques chasseurs sur place afin qu’ils tirent en l’air (attention toutefois à l’hélicoptère) afin d’effrayer la faune et les bouquetins, qui pour le coup auront peur des coups de feu, mais pas de l’hélico.
La troisième, organisation d’une expédition basée sur le volontariat, dans le but de placer des boules Quies dans les oreilles des isards, marmottes et bouquetins. Cette procédure étant la plus silencieuse des trois, mais nécessitant une sacrée main d'œuvre...
_________________
Jeff
Champignons en Novembre, gynéco en Décembre.
mounge64
Posts: 2922
Pertinence:

Groupes: 1
message 31 oct 2025 - 23:04 |  
Note du message: Notez ce message: down / up

JFB icon_mrgreen.gif icon_mrgreen.gif icon_mrgreen.gif
_________________
si tu peches en montagne t' échappes à la mèr e
soubsouscarl
Posts: 2640
Pertinence:
message 5 nov 2025 - 07:24 |  
Note du message: Notez ce message: down / up

sacré JFB ! icon_mrgreen.gif

Inviter des personnes à lire ce sujet...
(entrez un pseudo ou une adresse email par ligne)
Chercher un membre
Texte pour les destinataires / invités (facultatif):

Tags du sujet : seulement pour les membres.

Votre email:
(En étant abonné, vous recevrez un mail dés qu'une prochaine réponse sera envoyée)

Rechercher dans - Astuces forum

Sujets similaires:
Navigation :
Forum issu du site www.achigan.net - France - © 2003-2025 - Infogérence : sysnove

Page générée en 0.099s. - 27 requêtes sql -
Ce site utilise des cookies pour améliorer la navigation En savoir plus - Fermer
2 visiteurs (liste) en ce moment