Prenons maintenant un carré, ce sera peut etre plus simple que le cercle ...
Si A est la superficie en hectares,
le coté du carré est L=racine(A)*100 en metres
Si on considere une bordure de largeur b=20m, la superficie B en hectares de cette bordure
est l'aire du carré entier dont on retire le carre interieur de largeur L-2*b
ce sera donc B=A-(L-2*b)^2/10000==L^2/10000-(L-2*b)^2/10000=4*b*(L-b)/10000
la densité par m2 de brodure sera d=a*A/B et sur 1m de berge, devant soi sur une largeur b
on aura N=1*b*d truites
N=a*L^2/(4*L-4*b)
avec a=1000 nb d'alevins par hectare.
dans ce cas N=2.5*L^2/(L-b)
ou en fonction de A
N=a*A/(4*racine(A)*100-4*b)
N=2.5*racine(A)/(1-0.01*b/racine(A))
voyons les cas extremes:
1. pour une bordure utile petite devant le coté du carré du lac L,
ce qui est le cas en general,
on retrouve le résultat précédent par metre lineaire, à savoir,
N=2.5*racine(A) pour b << L
on peut aussi faire un developpement limité au premier ordre et on tombe sur
N = 2.5*racine(A)+0.5 pour b=20
approximation deja excellente pour un hectare. On pourra donc ne retenir
que la relation simple
N=2.5*racine(A)
2. Inversement, dans le cas de petits lacs, si L<b, pour les lacs de cote 20 ou 30m, donc pour des flaques de 0.1ha
la bordure se confond avec la superficie totale, mais ces lacs ne sont pas alevinés
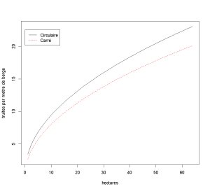
La figure suivante compare les résultats entre un cercle et un carré
peu de difference ..
On pourrait generaliser a des formes quelconques (rectangles, ovales, lacs tortueux, ...), on retrouverait donc un résultat identique, à savoir, que la densité par metre de berge augemente comme la racine carré de la superficie
quelques valeurs
ha cercle carre
1 3.4 3.1
4 6.2 5.6
8 8.5 7.6
16 11.8 10.5
25 14.6 13.0
32 16.5 14.7
Le cercle est legèrement mieux que le carré, ce qui est normal,
car pour une superficie donnée, c'est le cercle qui aura le perimetre le plus faible
donc la concentration par metre de berge la plus elevée.
A l'inverse, un étang "tort" aura une densité plus faible.
En conclusion et toutes autres choses etant egales par ailleurs (biotope, accessibilite, pression de peche, l'age du pilote de l'helico, etc ..),
le mieux sera un grand lac circulaire, c'est là qu'on trouvera le maximum de truites disponibles sur son metre de berge.
CQFD (Ce Que la FéDé ne savait pas et n'a pas a savoir
Ne pas ebruiter ce phenomène ... car tout le monde ira dans des grands et je serai tranquille dans les petits
d'un autre coté si tout le monde se dit la meme chose alors il n'y aura plus personne sur les grands lacs

et donc j'irai dans les grand lacs ...
on retrouve ce phenomene un peu partout, connu sous le nom du
bar el farol ! Il faut etre du coté de la minorité
heureusement que tous les pecheurs en lac ne consulent pas ce site. Aucun des pecheurs croisés l'an dernier ne disait connaitre ce site, incroyable !!! non ?
Dernière modification par daniel31 *: 2 juin 2013 - 20:53_________________
Un poisson au bout du fil manque de conversation (Sylvain Tesson)
Simplifiez, simplifiez, simplifiez. (H.D. Thoreau)
<<
Partagez très simplement des photos sur ce site en quelques clicks et sans avoir besoin d'utiliser un site dédié aux hébergements de vos images affichant souvent une publicité excessive! >>